随着中国精密加工技术的高速发展,人们对加工零部件要求越来越复杂化和精细化。因五轴机床对相对传统的三轴数控机床增加了两个回转轴,更适用于复杂空间曲面零部件的加工,如今五轴机床在中国企业大量使用。
回转轴的精度直接影响到五轴机床的整体加工精度。回转轴的检测因此至关重要,本文将从SJ6000激光干涉仪检测回转轴的现有方法进行讨论,给大家推荐中图仪器激光干涉仪的附件WR50自动精密转台检测回转轴。
传统方式:自准直仪配合多面棱体测量回转轴
回转轴的检查目前有两种方式,其一就是自准直仪配合多面棱体进行检查。方法如下:

图 1自准直仪和多面棱体安装示意图
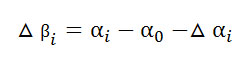
如图1所示,将多面棱体安装在回转轴的中心,调整棱体安置位置与轴同心,将回转轴置于零位,使棱体的某一个工作面对准自准直仪,记录下自准直仪的读数α0 。
将回转轴转过一个角度βi[βi=(i-1)×360°/N ,i=2,3,......,N],记录自准直仪读数αi ,根据正N面棱体的检定证书,查询第i面与第一面夹角偏差为△αi,则βi角度偏差为:

重复以上步骤至完成回转轴整个行程范围的测量。
传统测量方式的特点分析
1. 使用起来较为麻烦,尤其是在测量一些大尺寸的转台时,自准直仪与棱体的距离较远,瞄准和读数都非常困难;
2. 测量间隔受到棱体面数的限制,不能进行任意角度的测量;
3. 无法实现自动测量,效率不高。
4. 人工读数增加了测量误差。
5. 数据需要人工处理。
自动方式:采用激光干涉仪和WR50自动精密转台的方法
回转轴的检查目前有两种方式,其二就是激光干涉仪结和自动精密转台进行。如下:

图 2激光干涉仪结合自动精密转台测量回转轴示意图
图2 是激光干涉仪回转轴校准系统安装示意图,主要由SJ6000激光干涉仪主机、角度镜组、WR50自动精密转台、SJ6000回转轴测量软件构成。系统测量精度为±1″,测量分辨率可达0.01″,基准WR50自动精密转台重复精度为0.2″。
其测量过程可以概述为以下5步:
将WR50安装于回转轴中心,调整位置使偏心量尽可能小于0.1mm;
按图2所示安装好角度反射镜,调节激光激光干涉仪位置。
编写机床程序,设置回转轴测量的目标点和暂停时间,在激光干涉仪软件中做好相应设置。
调整WR50置于零位,激光干涉仪读数置零。
开始运行机床程序,激光干涉仪同时自动采集数据,按照测量要求采集往返循环数据。
自动方式的特点分析:
1. 该方法是自动采集数据,避免人为读数误差,精度高;
2. 测量过程全自动化,效率高;
3. 可测量任意方向的回转轴,可测量任意角度间隔,通用性强;
4. 可自动生成误差曲线和补偿数据,根据不同标准自动计算定位精度结果,无需人工计算。
5. 购买设备投入较高。NO!投入高那是2017年前的事情了,自我司推出激光干涉仪以来,逐步打破激光干涉仪被国外仪器垄断的局面。WR50自动精密转台和SJ6000激光干涉仪一样作为一款国产仪器,除具有进口仪器的高精度、高性能外,还具有价格实惠、软件定制功能。
回转轴测量实例:

图 3广东客户回转轴测量

图 4上海客户回转轴测量

图 5浙江客户回转轴测量
回转轴精度补偿前后数据比对曲线:

图 6补偿前曲线图

图 7补偿后曲线图
▲ WR50技术参数:
型号:WR50
角度测量范围:(0~360)°
测量精度:±1″
分辨力:0.01″
最高转速:10rpm
重量:1.9kg
高度:148mm
直径:112mm
通信方式:蓝牙传输
供电方式:锂电池

图 8WR50精密转台特写

表情
上传图片
|
|